应用领域

航空航天

流体动力学模块——DFCD-RhoFLOW

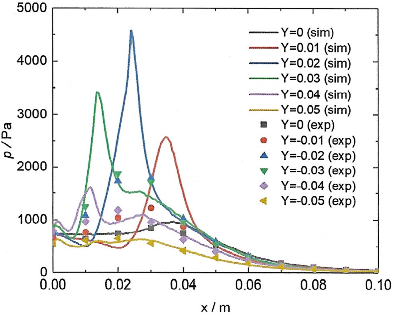
DFCD-RhoFLOW采用基于密度的有限体积法和高阶差分格式求解Navier-Stokes方程,可精确预测亚音速、跨音速、超音速和高超音速流动。流体模块下列突出特点:

  1. 定常和非定常计算
  2. 空间格式为Roe格式、AUSM系列格式、Van-Leer迎风通量分裂格式
  3. 采用Barth-Jespersen、Venkatakrishnan通量限制器将格式扩展到高阶精度
  4. 时间积分格式采用显式多步龙格库塔法、点隐式格式和全隐式格式
  5. 湍流模型有:
    1. 高雷诺数k-ε湍流模型(考虑壁面方程)
    2. 低雷诺数k-ε湍流模型
    3. Balwin-Lomax 湍流模型
    4. Spalart-Allmaras湍流模型
    5. Menter Shear Stress Transport (SST) 湍流模型
    6. 分离涡模拟(DES, DDES, IDDES)
    7. 大涡模拟(Large Eddy Simulation)

支持任意类型非结构网格,包括传统非结构网格,蜂窝、笛卡尔等多面体网格

show1-1

流体力学模块-01

  

流体力学模块-02

  

流体力学模块-03

  

流体力学模块-04

  

流体力学模块-05

  

流体力学模块-06

  

流体力学模块-07

  

流体力学模块-08

  

嵌套网格(重叠网格)模块——DFCD-RhoFLOW

采用嵌套网格模块处理挖洞和网格系统中不同块的数据交换。该模块的显著特点:不同物体分别生成网格,组装成嵌套网格系统通过图形界面输入参数,求解器自动执行挖洞、搜索等算法,无需复杂嵌套关系的定义。

高效、高鲁棒性的Donor Cell搜索算法允许用户设置数据交换层以原理流动梯度较大区域,提高差值精度,允许用户设置洞边解插值网格单元层数,基于最小距离进行洞边界优化距离反比加权平均等鲁棒性较好的一阶精度、及精度更高的二阶精度插值算法以满足不同的需求。

嵌套网格(重叠网格)模块-01

  

嵌套网格(重叠网格)模块-02

  

嵌套网格(重叠网格)模块-03

  

嵌套网格(重叠网格)模块-04

  

嵌套网格(重叠网格)模块-05

  

嵌套网格(重叠网格)模块-07

  

嵌套网格(重叠网格)模块-08

  

嵌套网格(重叠网格)模块-09

  

嵌套网格(重叠网格)模块-10

  

静/动气动弹性模块——DFCD-RhoFLOW

随着计算能力的提高,CFD/CSD耦合模拟从实用的角度来看更加可行,CFD在航空航天工业载荷和动力学小组中的应用不断增加。与此同时,颤振认证正成为一项越来越具有挑战性的任务,因为工程师必须了解和量化先进飞机设计在跨声速状态下的气动弹性行为。这种情况产生了对验证工作的强烈需求,并产生了关于各种计算气动弹性模拟方法的专有技术。

DFCD-RhoFLOW采用了松耦合技术,从而实现了静/动气动弹性仿真。

show3-1

静/动气动弹性模块-01

  

show3-2

静/动气动弹性模块-02

  

show3-3

静/动气动弹性模块-03

  

静/动气动弹性模块-04

  

静/动气动弹性模块-05

  

show3-6

静/动气动弹性模块-06

  

show3-7

静/动气动弹性模块-07

  

show3-8

静/动气动弹性模块-08

  

show3-9

静/动气动弹性模块-09

  

羽流模块——DFCD-RhoFLOW

采用 CFD(NS方程/Burnett方程)-DEM(离散单元法) 耦合的方法对羽流尘埃的气体-颗粒两相流系统进行数值模拟,可以预测羽流与尘埃颗粒的气-固两相流场,分析气相流场特征包括压力场、温度场、速度场等特征,并针对粒子尺度信息包括粒子的运动轨迹、颗粒间的碰撞、颗粒受力情况以及粒子相与气相相互作用过程,粒子相与壁面相互作用等,进行深入分析。

离散建模是将离散单元法与计算流体力学(DEM-CFD)相结合,利用基于局部平均原理的Navier-Stokes方程(稀薄区采用前述Burnnett方法)求解牛顿第二运动定律和流体流动,计算单个颗粒的运动,将牛顿第三运动定律的原理应用于离散颗粒和不同尺度的流体,实现了DEM与CFD的耦合。这种方法是在过去几年发展起来的。

模拟计算条件:1.0×10-10Pa, 40K

show4-0-1

羽流模块-01

  

show4-0-2

羽流模块-02

  

show4-0-3

羽流模块-03

  

show4-0-4

羽流模块-04

  

show4-0-5

羽流模块-05

  

show4-0-6

羽流模块-06

  

show4-1

羽流模块-07

  

show4-2

羽流模块-08

  

show4-3

羽流模块-09

  

show4-4

羽流模块-10

  

show4-5

羽流模块-11

  

show4-6

羽流模块-12

  

show4-7

羽流模块-13

  

show4-8

羽流模块-14

  

show4-9

羽流模块-15

  

show4-10

羽流模块-16

  

show4-11

羽流模块-17

  

show4-12

羽流模块-18

  

show4-13

羽流模块-19

  

show4-14

羽流模块-20

  

show4-15

羽流模块-21

  

show4-16

羽流模块-22

  

show4-17

羽流模块-23

  

show4-18

羽流模块-24

  

show4-19

羽流模块-25

  

show4-20

羽流模块-26

  

show4-21

羽流模块-27

  

show4-22

羽流模块-28

  

show4-23

羽流模块-29

  

show4-24

羽流模块-30

  

颗粒模块——DFCD-MultiFLOW

喷雾(离散相)模块用于跟踪流体液滴或固体颗粒、气泡通过计算域的情况。下面是该模块的一些典型应用:

  • 气体涡轮燃烧室喷雾燃烧
  • 火箭发动机和内燃机燃料或氧化剂喷雾
  • 涂层应用中的热喷雾
  • 颗粒/浮质分离器
  • 干净房间的灰尘输送
  • 颗粒/材料沉淀系统
  • 微球体分析物粘合的免疫测定

通过求解拉格朗日坐标系下的控制质量、动量和能量守恒方程追踪离散相(液滴,颗粒,气泡) 。离散相允许进行质量(蒸发), 动量(阻力), 能量 (热) 和生物分析物(结合)与连续相(周围环境流体)。该模型可以建立考虑单向(连续相到离散相)或双向相耦合的情况。颗粒模块已经过多个benchmark问题的验证成功用于很多燃烧和其他情况的应用。

典型应用案例

mushow7-1

颗粒模块-01

  

mushow7-2

颗粒模块-02

  

mushow7-3

颗粒模块-03

  

mushow7-4

颗粒模块-04

  

mushow7-5

颗粒模块-05

  

mushow7-6

颗粒模块-06

  

mushow7-7

颗粒模块-07

  

mushow7-8

颗粒模块-08

  

mushow7-9

颗粒模块-09

  

mushow7-10

颗粒模块-10

  

mushow7-11

颗粒模块-11

  

mushow7-12

颗粒模块-12

  

mushow7-13

颗粒模块-13

  

mushow7-14

颗粒模块-14

  

气动光学模块——DFCD-RhoFLOW

DFCD-RhoFLOW具有物理光学(气体密度对折射率的影响)、几何光学(头罩温度梯度对折射率的影响)、成像质量评估和几种高级湍流模型。DFCD-RhoFLOW还耦合辐射传热模块,使其能够研究气动-气动热-辐射热-光学的影响。

show5-1

气动光学模块-01

  

show5-2

气动光学模块-02

  

show5-3

气动光学模块-03

  

show5-4

气动光学模块-04

  

show5-5

气动光学模块-05

  

show5-6

气动光学模块-06

  

show5-7

气动光学模块-07

  

汽车工业

流体动力学模块——DFCD-MultiFLOW

流动模块是其求解器的核心,可用于绝大多数模拟。可以模拟任何气体、液体。程序在有限体积离散基础上求解N-S方程。任何速度的内外流问题都可以求解,产生压力和速度场的解。流动模块的特点包括:

  • 基于压力的有限体积方法(FVM) N-S方程求解器
  • 所有流速
  • 牛顿和非牛顿流体粘度选项
  • 带有滑移壁面的稀薄气体流动
  • 几种体积力
  • 二维轴对称几何的漩流选项
  • 多孔介质和膜
  • 薄壁
  • 所有PDE的隐式,强守恒
  • 迎风,中心,二阶迎风,二阶Limiter, 三阶和智能空间差分程序
  • 欧拉和Crank-Nicolson 时间差分方法
  • 支持多块结构化一般非结构化(任意类型单元); 任意网格界面;嵌套网格丝和颗粒簇;移动、变形网格及其带有带有滑移网格界面的旋转网格

这些特点可以连同一个或更多其他DFCD-MultiFLOW模块来提供对复杂真实世界工程问题的多物理场求解,其流体动力学模块已经经过广泛的验证和使用。

传热/辐射模块——DFCD-MultiFLOW

辐射对很多工业应用来说是主导的传热模式。例如包括燃烧、快速热处理(RTP)和快速热化学蒸气沉淀(RTCVD)。有些情况气体可能是参与的,而有些情况下只有固体参与。其辐射模块提供了用于满足不同应用领域的模型。三种模块如下:

  • Discrete Ordinates方法:适用于任何应用。尤其适用于气体参与燃烧的情况。该模型适合于灰体和非灰体属性
  • Monte Carlo方法:这种高可信度模块主要应用于半导体材料的处理。诸如光谱和方向变化的属性,薄膜干涉效应,部分镜面反射。该模型可用于灰体和非灰体属性
  • S2S(面对面)方法:这是十分高效的方法,适于不涉及气体参与的情况,可以快速评估辐射热通量,诸如汽车发动机。该模型只能用于灰体。

这三种模型都可用于任何网格拓扑。Discrete Ordinates和Monte Carlo模型可以在并行处理器上运行。其传热/辐射模块已经过充分验证,已成功用于众多的应用。下面为一些验证的结果。

典型应用案例

mushow1-1

流体动力学模块-01

  

mushow1-2

流体动力学模块-02

  

mushow1-3

流体动力学模块-03

  

mushow1-4

流体动力学模块-04

  

mushow1-5

流体动力学模块-05

  

mushow1-6

流体动力学模块-06

  

mushow1-7

流体动力学模块-07

  

mushow1-8

流体动力学模块-08

  

mushow1-9

流体动力学模块-09

  

生物医学

流体动力学模块——DFCD-MultiFLOW

流动模块是其求解器的核心,可用于绝大多数模拟。可以模拟任何气体、液体。程序在有限体积离散基础上求解N-S方程。任何速度的内外流问题都可以求解,产生压力和速度场的解。流动模块的特点包括:

  • 基于压力的有限体积方法(FVM) N-S方程求解器
  • 所有流速
  • 牛顿和非牛顿流体粘度选项
  • 带有滑移壁面的稀薄气体流动
  • 几种体积力
  • 二维轴对称几何的漩流选项
  • 多孔介质和膜
  • 薄壁
  • 所有PDE的隐式,强守恒
  • 迎风,中心,二阶迎风,二阶Limiter, 三阶和智能空间差分程序
  • 欧拉和Crank-Nicolson 时间差分方法
  • 支持多块结构化一般非结构化(任意类型单元); 任意网格界面;嵌套网格丝和颗粒簇;移动、变形网格及其带有带有滑移网格界面的旋转网格

这些特点可以连同一个或更多其他DFCD-MultiFLOW模块来提供对复杂真实世界工程问题的多物理场求解,其流体动力学模块已经经过广泛的验证和使用。

传热/辐射模块——DFCD-MultiFLOW

辐射对很多工业应用来说是主导的传热模式。例如包括燃烧、快速热处理(RTP)和快速热化学蒸气沉淀(RTCVD)。有些情况气体可能是参与的,而有些情况下只有固体参与。其辐射模块提供了用于满足不同应用领域的模型。三种模块如下:

  • Discrete Ordinates方法:适用于任何应用。尤其适用于气体参与燃烧的情况。该模型适合于灰体和非灰体属性
  • Monte Carlo方法:这种高可信度模块主要应用于半导体材料的处理。诸如光谱和方向变化的属性,薄膜干涉效应,部分镜面反射。该模型可用于灰体和非灰体属性
  • S2S(面对面)方法:这是十分高效的方法,适于不涉及气体参与的情况,可以快速评估辐射热通量,诸如汽车发动机。该模型只能用于灰体。

这三种模型都可用于任何网格拓扑。Discrete Ordinates和Monte Carlo模型可以在并行处理器上运行。其传热/辐射模块已经过充分验证,已成功用于众多的应用。下面为一些验证的结果。

mushow1-13

流体动力学模块-01

  

mushow1-14

流体动力学模块-02

  

mushow1-15

流体动力学模块-03

  

mushow1-16

流体动力学模块-04

  

微电子

自由表面(VOF)模块——DFCD-MultiFLOW

自由表面模块使用专用扩展的体积流体(VOF)方法来模拟两种不能混合流体的水动力学和传热,包括表面张力和重力作用。除了流动和传热模块外,自由表面模块可以与应力、应变、流体结构相互作用,电磁、静电和化学耦合使用。

应用包括容器晃动,浇注,填充,溢流,微装置,墨水喷射,生物装置,涂层,毛细流动。

功能:
    流体力学
  • 任意界面形状
  • 表面张力
  • 移动网格
  • 应力和应变分析
  • 牛顿/非牛顿粘度
  • 重力
    热传递
  • 可压缩(两种流体)
  • 动态接触角
  • 并行计算功能
  • e-mag模块连接
  • e-stat模块连接
  • 化学模块连接
  • 一个单元模型 (Hele Shaw)
    独特性
  • 能处理密度比达10000:1的问题
  • 可用于复杂几何模型的非结构网格
  • 提供两种级别上的表面重构(SLIC & PLIC)
  • 精确确定表面张力效应包括动态摩擦角
  • 从精度和速度的考虑自动控制时间步长
  • 求解两种流体的流动和传热

VOF模块已经过验证,可以与其他模块进行耦合提供复杂问题的真正多物理场求解

典型应用案例

mushow9-1

自由表面(VOF)模块-01

  

mushow9-2

自由表面(VOF)模块-02

  

半导体

等离子模块——DFCD-MultiFLOW

等离子模块能模拟非平衡等离子反应堆及其工艺过程的大量系统和操作条件(气体组成,从1mTorr到760Torr压力,等)。化学模块常用来模拟离子和中子类的传输以及定义电诱导速率的化学反应。动力模块可以用来考虑非麦克斯韦电子分布函数。

等离子模块有四个主要选项:

  • 感应耦合等离子(ICP) ICP项能解决电子温度的电子能量方程式。电子密度和静电场也可以从准中性条件中计算出来。电子加热可以通过电磁模块中的电磁场来获得。
  • 电容耦合等离子(CCP) 当选用CCP选项时,通过求解电子能量方程式和电子密度方程式来计算电子温度和电子数量密度。求解静电模块中的泊松方程可以求得静电场。
  • 正极区(PC) PC选项可以用来计算直流放电PC等离子的辐射构造。除了通过外部直流电场来产生电子加热外,这个选项类似于CCP选项。
  • GlobalGlobal模型用来快速模拟低压等离子,化学模型的敏感性分析及其电子动力学效应的分析。假定电荷损失和反应堆的活性根利用单元问题的建立到壁面的扩散控制。

等离子模块与扩展的等离子化学反应、横截面电子碰撞数据库和离子输送属性库一同出现。等离子模块在许多工业的众多领域已经被确认和使用。下边的图示展示了一些已经认可的例子和典型的应用。

结构力学和动力模块——DFCD-MultiFLOW

应力模块增加了有限元结构分析功能。可以以单独的模式进行纯结构分析,或与其他模块进行多物理场耦合分析。很多情况下连同网格变形模块使用,允许网格变形并反馈给其他模块。当与其他模块耦合时(例如流动和静电),从这些模块中计算的载荷自动施加到指定的边界上。

应力模块支持下列分析类型:

  • 静态或瞬态分析
  • 几何和材料非线性
  • 热弹性分析
  • 各向异性材料属性
  • 压电分析
  • 模态分析
  • 柔体/刚体和柔体/柔体接触分析

多物理场分析的级别由用户控制。例如流体-结构相互作用问题,流体求解器每5次迭代调用一次结构求解器,给流体求解器时间来按应力模块中计算结果调整网格变形。它的结构力学和动力学模块有大量成功的应用。

典型应用案例

mushow12-1

等离子模块-01

  

mushow12-2

等离子模块-02

  

mushow12-3

等离子模块-03

  

ICP

mushow12-4

等离子模块-04

  

mushow12-5

等离子模块-05

  

mushow12-6

等离子模块-06

  

mushow12-7

等离子模块-07

  

CCP

mushow12-8

等离子模块-08

  

mushow12-9

等离子模块-09

  

mushow12-10

等离子模块-10

  

化工冶金

化学模块——DFCD-MultiFLOW

化学模块可用于任何涉及到化学反应流动的应用。例如燃烧,推进,化学气相沉积,等离子加强的沉积或蚀刻,燃料电池,催化转化,生物医学应用等。

该模块提供两个计算化学组成的主要选项:

  1. Mixture-by-mixture approach: 求解混合物组分的输运方程
  2. Species-by-species approach: 求解每种组分的输运方程

有几种计算化学反应的选项。列表如下:

      Homogeneous Chemistry:可以是液体或气体。其他选项包括:
    • 平衡反应
    • 瞬时反应到平衡产物
    • 有限速率多步反应涉及任意数量的反应和组分
      Heterogeneous Chemistry:可以是液体或气体。其他选项包括:
    • 平衡反应
    • 有限速率多步反应涉及任意数目的反应和组分,包括表面吸收组分
    • 反应是热激活的(Arrhenius类型) 或电激活的 (Butler-Volmer类型)
    • Heterogeneous chemistry模型也适用于多孔介质内。

化学模块能够计算多组分系统extremely stiff 反应组。可以与流动、传热、等离子、电学和喷雾及其他模块耦合。包括LES在内的几个高级模型可用来处理湍流-化学的相互作用。

典型应用案例

mushow4-1

化学模块-01

  

mushow4-2

化学模块-02

  

mushow4-3

化学模块-03

  

mushow4-4

化学模块-04

  

mushow4-5

化学模块-05

  

mushow4-6

化学模块-06